智新云网络

 找回密码
 立即注册

QQ登录

只需一步,快速开始

开启左侧

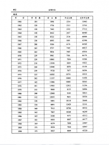
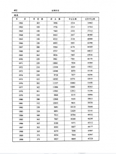
1949-1990运城小学基本情况统计表——运城教育志

[复制链接]
发表于 2022-1-9 09:32:34 | 显示全部楼层 |阅读模式
1949-1990运城小学基本情况统计表
1949-1990运城小学基本情况统计表1.jpg
1949-1990运城小学基本情况统计表.jpg




您需要登录后才可以回帖 登录 | 立即注册

本版积分规则

关闭

社区推荐上一条 /1 下一条

小黑屋|手机版|Archiver|关于我们|智新云网络 ( 蜀ICP备18012146号-1 )

GMT+8, 2026-1-21 01:55 , Processed in 0.073009 second(s), 24 queries .

Powered by Discuz! X3.4

© 2001-2023 Discuz! Team.

快速回复 返回顶部 返回列表